Handbok Kollektiv
Senast uppdaterad: 2025-05-21
Historisk återblick
I mitten av förra seklet, i efterkrigstidens Europa, ökade priset för arbetskraft. Mätning av massaved var arbetsintensivt. Kostnaderna för mätning steg mycket i jämförelse med sortimentets värde. Därför provades nya metoder för att göra mätningen mindre arbetsdryg. De så kallade Robertsforsförsöken mynnade ut i en metod där massaved mättes med stickprovsvis skattning av mätfel.
Varför kollektiv används idag
Dagens kollektivhantering motiveras huvudsakligen av egenskaper som virkesflödet har, som inte kan detekteras vid ordinarie mätning. De behöver skattas via ett stickprovsförfarande.
Massaved
Mätning av massaved via kollektiv har under senare tid ersatts av klassificeringsmetoden prima/sekunda. Det innebär att klassificeringen av virket bestäms vid mätning av traven. Bedömning av stickprovsstockar för den sakens skull behövs därför inte längre. Förbättrade metoder och stöd för volymmätning gör att korrigering för mätfel inte heller längre görs för massaved via stickprovsmätning. Stickprovsmätning är fortfarande aktuellt för massaved, när travar vägs eller räknas. Då kan inte Prima/sekunda-begreppet tillämpas. Stickprovsvis volymmätning av räknade eller vägda travar syftar också till att omvandla det mått mätningen ger till m3f. Det går att prissätta.
Sågtimmer
Sågtimrets värde skattas via prisräkning av stickprovsvis utförd stockmätning. Beslut är fattat att korrigering för mätfel vid travmätning ska upphöra för sågtimmer. Det ska verkställas i VIOL 3, men förutsätter omfattande förändringar av funktioner kring beräkningar av à-pris. Därför är det inte genomfört i VIOL 3 ännu.
Lösa material
Från leveranser med sortiment som hanteras i lösa mått tas prov för skattning av torrhalt och kvalitetsindex för flis. Torrhalten omvandlar det vägda måttet råa ton till ton torrsubstans, som kan prissättas. För vissa handelssortiment skattas ett energiinnehåll.
Branschbeslut kring skillnader mellan VIOL 2 och VIOL 3
1. Kvantitet i VIOL 3 bestäms slutgiltigt i samband med mätning. Det innebär att prov som ligger bakom kvantiteten måste finnas tillgängliga då. I VIOL 2 kan kvantitet omräknas med utgångspunkt i prov som tas senare i tiden, efter en preliminär bestämning av kvantitet.
2. Redovisning av lösa sortiment som vägs och ingår i kollektiv måste omvandlas till ton torrsubstans och redovisas i den formen. I VIOL 2 går det att avstå från den omvandlingen och istället använda råa ton i redovisningen. Då utförs en temporär omräkning i VIOL 2-systemets prisräkningssystem av det råa måttet i samband med beräkningen av värdet.
3. Redovisning av kollektiv är enklare i VIOL 3. De omräkningsfaktorer, som i VIOL 2 benämns Vkorr 1 och Vkorr 2, följer inte med till VIOL 3. Borttagandet av Vkorr 1 motsvaras av att priser för leveransgilla produkter slås samman till gemensamt à-pris i VIOL 3. Vkorr 2 tas bort, som en följd av att kvantiteten ska vara bestämd vid mättillfället. Det gäller även indirekt redovisning av kvantitet via Vkorr2. Vkorr 2 innebär att retroaktiv omräkning av kvantitet överförs till värdets redovisning. När Vkorr 2 upphör att användas, sker ingen förändring av värdet, med det fördelas på annat sätt över tid.
De sex skattningarna
Prov i kollektiv möjliggör skattning av tillämpade omräkningstal. De används till bestämning av virkekvantitetens kvantitet och värde.
De tillämpade omräkningstalen är:
- Netto-omräkningstal
- Brutto-omräkningstal
- Torrhalt
- Priskorrektion
- À-pris
- Energiinnehåll
Netto- och Bruttoomräkningstal
Verkar i kombination med varandra. När travmätning gäller finns mätfel. Omräkningstalen justerar den betalningsgrundande kvantiteten för det. Det synsättet tillämpas bara för sågtimmer. När kvantiteter vägs eller räknas saknas mätfel. Måttenheterna styck resp. ton går dock inte att använda som prisgrundande måttslag. Omräkningstalen ligger bakom en omvandling till m3f. De två omräkningstalen används också till beräkning av sådan vrakkvantitet, som inte detekteras direkt i samband med mätning av ordinarie mätning.
Torrhalten
Omvandlar resultatet av vägning av skäppor från råa ton till ton torrvikt. Det utgör prisgrundande måttslag för sönderdelade material i kollektiv när vägning utgör mätmetod.
Priskorrektion
Är ett mått på sågverksflisens kvalitet. Det tas fram via sållning av flisprov. Priskorrektionen korrigerar flisens à-pris, som uttrycks i råvaruprislistans grundpris.
Sågtimrets À-pris
Tas fram via prisräkning av provstockar. Medelpris för stockarna beräknas. Det utgör de ordinarie mätningarnas grundpris.
Energiinnehåll (Mwh)
Omvandlar resultatet av vägning av skäppor till energimängd. Det utgör ett alternativ till ton torrvikt som prisgrundande måttslag.
Kollektiv och värde
Kollektiv och värde ingår i gemensamma funktioner. Kollektiv kan utnyttjas i beräkning av värden för sågtimmer och flis. Det förutsätter samverkan mellan olika objekt i VIOL, dels i destineringen, dels i prisräkningen. Läsaren bör notera att begreppet “pris från kollektiv” fordrar extra uppmärksamhet, eftersom det finns i flera objekt med olika innebörd.
Koppla kollektiv med värde
Gemensamma funktioner för sortimenten sågtimmer/flis:
Förstaleds- och köparekontrakt
Kontraktets flagga “pris från kollektiv” sätts till Ja i kontrakt där affären ska använda skattningar från kollektiv. Det gäller sågtimmer (à-pris) och sågverksflis (priskorrektion). Pris från kollektiv kan gälla enstaka led i kollektivet. Det går också att begränsa funktionen pris från kollektiv till en delmängd av kontrakten inom samma affärsled. Det går inte att ändra ”pris från kollektiv” i ett kontrakt. Ett byte av ”pris från kollektiv” förutsätter alltså att nytt kontrakt skapas.
För köparekontrakt som byts ut räcker det med att nya kontraktet ersätter det gamla i kontraktskedjan i redovisningshänvisningen. Ett nytt förstaledskontrakt förutsätter ett nytt avtalsobjekt och därmed en ny destinering.
Redovisningshänvisning
Flaggan “avser kollektiv” sätts till Ja. Det kommer att styra destineringen till att hitta ett mätningsflöde med koppling till kollektiv.
Redovisningshänvisningens flagga “pris från kollektiv” har betydelse när funktionen i destineringen ska hitta kollektivet. Om flaggan sätts till ja kan destineringen bara hitta kollektiv av variant 1. Om flaggan sätts till Nej kan destineringen resultera i kollektivvariant 1 eller annan kollektivvariant. Finns flera giltiga kollektiv av olika varianter väljer destineringen det första kollektivet som hittas. Om kollektiv-ID pekas ut direkt via Redovisningshänvisningen används inte funktionen i destineringen för att hitta kollektivet. Då spelar det ingen roll vad Redovisningshänvisningens flagga ”pris från kollektiv” sätts till.
Affärer som inte nyttjar pris från kollektiv ingår i kollektivet eftersom andra affärer i samma flöde utnyttjar pris från kollektiv. Alla affärer berörs av kollektivets kvantitetsrelaterade omräkningstal.
Sågtimmer
Förstaleds- och köparekontrakt. Det är vanligt att bara något/några av affärsleden använder funktionen pris från kollektiv. Redovisningshänvisningens flagga “pris från kollektiv” bör sättas till Ja. Då kan inte affärsledskedjan i RH ändras på sätt som leder till förändrade parter. Att affärsledskedjan på detta sätt är stabil i tiden är en förutsättning för att kommande destineringar med samma RH mot samma kollektiv kan genomföras.
Aktörsregistret
Aktörsregistrets flagga “pris från kollektiv” används för att ifrågavarande part ska kunna omfattas av à-pris via kollektiv. I en affär som omfattas av pris från kollektiv behöver både säljarens och köparens högsta nivå ha flaggan = Ja. Det innebär att organisationerna kan registreras som handlande part i kollektivbeskrivningen. Virke från privatpersoner kan ingå i kollektiv, men sådan affär kan aldrig nyttja pris från kollektiv. Syftet med aktörsregistrets flagga “pris från kollektiv” är att små organisationer ska likställas med privatpersoner. Volymerna från sådana säljare är för små för att omfattas av stickprovsvisa skattningar av à-pris.
Kollektivbeskrivningen
Om något av affärsleden i flödet ska använda beräkning av värde med utgångspunkt i stickprovsstockar som prisräknas ska kollektivvariant 1 användas. I kollektivbeskrivningen behöver virkesflödets köpare och säljare beskrivas. Det gäller varje affärsled som kan använda pris från kollektiv. Det gäller alltså även när avsikten är att inte nyttja värdeberäkning med kollektiv.
Samtliga affärsled i affärsledskedjan (från led 2 och uppåt) måste alltid specificeras i kollektivet. De måste följaktligen vara av den typ av affär som kan nyttja pris från kollektiv. Om förstaledsaffären också är en sådan affär, måste även den anges i kollektivet. Det kan tyckas motsägelsefullt, att affärer som inte ska använda pris från kollektivet behöver specificeras i kollektivet. Det är funktionen bakom destineringen som förutsätter detta.
Affärsled som enligt aktörsregistret har säljare av typen person eller liten organisation ska inte beskrivas. De varken kan nyttja pris från kollektiv eller beskrivas i kollektivbeskrivningen.
Prislistor
Det huvudsakliga syftet med sågtimmerkollektiv är att åtminstone ett affärsled i flödet ska utnyttja pris från kollektiv. Skattat à-pris i kollektiv har stockprislista som utgångspunkt. I den kan stickprov använda dimensionsberoende grundpris och dimensionsberoende tillägg/avdrag. Det ligger till grund för grundpris för det ordinarie mätningsflödet. Det är tillämpat à-pris, som är medelvärdet för stickprovsstockarnas värden. Tillämpat à-pris framgår i kollektivbeskrivningen. Ska kollektivets à-pris kompletteras med dimensionsoberoende premier avdrag behöver en prislista för RTV-mätning användas. Om värdet för ordinarie mätning bara omfattar kollektivets pris behövs ingen sådan prislista. Då räcker det med att kontraktets “pris från kollektiv” sätts till ja.
Affärer i kollektiv av variant 1 som inte ska använda pris från kollektiv prisräknas på samma sätt som travmätningar utanför kollektiv. Ordinarie mätnings grundpris ligger i samma RTV-prislista som gäller för dimensionsoberoende premier och avdrag. För sådana affärer går inga priser att tillämpas som styrs av stockdimensioner.
“Pris från kollektiv” i kontrakt = Ja i förebyggande syfte
Samma kontrakt kan användas både till flöde som stockmäts och annat flöde som mäts med kollektiv. Kontraktets “pris från kollektiv” kan inte ändras i aktiverat kontrakt. I följande fall är det därför befogat att sätta den till ja för ett stockmätt flöde trots att parametern i det flödet saknar betydelse.
Stockmätning
Det spelar ingen roll om kontraktets “pris från kollektiv” är ja eller nej. Det beror på att “avser kollektiv” i RH sätts till Nej.
Kollektivmätning
Kontraktets “pris från kollektiv” sätts till Ja om värderelaterade omräkningstal apris/priskorrektion ska påverka redovisningen. RHns “avser kollektiv” sätts också till Ja.
Flis
Förstaleds- och köparekontrakt
Det är normalt att samtliga affärsled använder funktionen pris från kollektiv.
Redovisningshänvisningens
RHns flagga “pris från kollektiv” sättas till Nej i de fall funktionen i destineringen ska hitta kollektivet. Det innebär att även kollektiv som inte är av variant 1 kan hittas i destineringen.
Kollektivbeskrivningen
Om sönderdelat material ska använda fraktionsmodeller (flismodeller) ska kollektivvariant 5 eller 7 användas. Det innebär att priskorrektion ingår i beräkning av ordinarie mätnings värde. Variant 5 används om ordinarie mätning vägs. Vid mätning av skäppa används variant 7.
Fraktionsmodell (flismodell)
Kollektivets bidrag till affären utgör ett kvalitetsindex, som kallas priskorrektion. Det används i affärer i kollektivet med “pris från kollektiv”=Ja i kontraktet. Det är en korrektion av grundpriset.
Prislista
För kollektivvariant 5 och 7 måste en prislista eller komponent i kontraktet finnas. Sågverksflis har grundpriset uttryckt i samma prislista som gäller för premier och avdrag.
Priskomponenter och prislistor
För kollektivvariant 1 kan pris från kollektiv kompletteras med priskomponenter i prislista och kontrakt, som uttrycker tillägg och avdrag till grundpriset från kollektivet. För kollektivvariant 5 och 7 måste ett grundpris finnas antingen i kontrakt eller prislista. Det korrigeras med priskorrektionen från kollektivet.
Läsaren bör notera att funktionen med pris för kollektivvariant 1 är förhållandevis komplicerad. Det beror på att prisräkningen sker i två steg: ett för prov och ett för ordinarie mätning. Ett vanligt misstag är att blanda ihop de två stegen i försöken att förstå den gemensamma processen.
Måttslag i priskomponent
Prisräkning av ordinarie mätning förutsätter en grundpriskomponent som har kollektivbeskrivningens måttslag. Prisräkning av stickprov förekommer för kollektivvariant 1. Det saknas beroende mellan provets grundpris och kollektivbeskrivningen måttslag.
Samband mellan kollektivvariant och grundpriskomponent:
Följande beskrivningar av prislista i kollektiv rör uteslutande kollektivvariant 1.
Prislista för prov
För prov måste prislista användas. Den anges i kollektivbeskrivningen. Prov och stockmätta ordinarie mätningar kan administreras med separata prislistor. Det sättet rekommenderas. Det hindrar inte att samma grundpriskomponent används. Det går också att låta de två slagen av stockmätningar dela samma prislista.
Det är för tydlighetens skull lämpligt att använda separata prislistor för stickprov.
Dimensions-o-beroende priser som kan ingå i en stockprislista, kan inte stockmätta stickprov använda. Sådana priser ska istället ingå i prisräkning av den kollektivomräknade RTV-mätningen. Stockmätta ordinarie mätningar kan däremot använda sådana priskomponenter.
Ett lämpligt arbetssätt är att använda samma identitet för prislista under hela kollektivets giltighetstid. Löpande prisändringar skapas genom datumstyrd växling till ny priskomponent i den prislistan.
Ordinarie mätnings prislista/priskomponent
För ordinarie mätning används i normalfallet prislista som kompletterar grundpriset som kollektivet bidrar med. Istället kan priskomponent i kontrakt komplettera priset från kollektiv. Ett alternativ är att inte ha någon komplettering alls, då får ordinarie mätning enbart kollektivets pris.
Varför inte sågtimmerkollektiv i m3to i VIOL 3
Kvantitet för ordinarie mätning, som beräknas med kollektivets omräkningstal, får det måttslag som står i kollektivets huvud. Det är det så kallade kollektivmåttslaget. Det måttslaget ska vara m3f – inte m3to. Om m3to kunde utgöra kollektivets måttslag, skulle kvantiteten i ett ytterligare beräkningssteg omvandlas till m3f. Den omvandlingen skulle i så fall få låg kvalitet. Det beror på dimensions-oberoende omvandlingstal, som då skulle komma i fråga.
Därför har inga kollektiv i VIOL 3 m3to som kollektivmåttslag. Med m3f som kollektivmåttslag erhålls omräkning av den travmätta kvantiteten i m3fub till kollektivomräknad kvantitet i samma måttslag direkt via provstockarna. Det ger en godtagbar kvalitet för kvantiteten.
Stickprovsstockar med m3to som prisgrundande måttslag
Kollektivmåttslag m3f hindrar inte prismatriser för provstockar med m3to som prismåttslag. Måttslaget i prismatriserna är sålunda oberoende av kollektivets måttslag. Beräkningen av kollektivets à-pris använder värden för prov, oberoende av bakomliggande måttslag i provets prismatris-er. Provens värden slås ut på stockarnas kvantitet i kollektivets måttslag, som är m3f. Resultatet blir kollektivets à-pris. Det innebär att olika produkter i samma prov och affärsled kan värdeberäknas med olika prismåttslag.
Pris för leveransgilla provstockar med avvikande trädslag
Leveransgilla stockar av olika trädslag bildar gemensamt tillämpat à-pris. Ett prov, där inte alla leveransgilla stockar har fungerande prisräkning, är i sin helhet diskvalificerat från beräkning av tillämpat à-pris. Ej fungerande prisräkning kan bero på att grundpriskomponent saknas för produkt som förekommer som leveransgill stock. Det kan exempelvis vara en enstaka tallstock i ett grantimmerkollektiv. Stock som genomfört prisräkning med uttryckt värde som är 0 (noll) har fungerande prisräkning.
Pris för ej leveransgill kvantitet i provstockar.
Ej leveransgilla stockar
Har alla leveransgilla stockar fungerande prisräkning ingår provet i beräkning av kollektivets Tillämpade à-pris. Det gäller även om oprisräknad ej leveransgill stock finns, vilket kan ses som en fördel eller nackdel.
I ett scenario saknar ej leveransgill stock av misstag priskomponent. Det leder till oavsiktligt lågt Tillämpat à-pris för ej leveransgill kvantitet. I annat scenario möter ej leveransgill stock en priskomponent, där stockens vrakorsak (exempelvis metallvrak) inte omfattas av priskomponentens urvalsvillkor. Det låga à-priset som den stocken bidrar till får anses vara avsiktligt och därför fritt från invändningar.
Avdragskvantitet
Priskomponenter som utgår från stockarnas avdragskvantitet kan inte användas för stockmätta prov. Sådan värdeberäkning är förbehållen ordinarie stockmätningar. Orsaken är att det inte är lämpligt att värdeberäkna avdragskvantitet i prov. Det skulle innebära dubbel värdering av den kvantiteten. Motsvarande andel av travmätningens ej leveransgilla kvantitet, ärver à-pris från värdet av provstockar av ej leveransgill kvantitet.
Pris för ej leveransgill kvantitet i kollektivomräknad trave
Om grundpris enligt stickprovsstockar används är priskomponent inte aktuell för grundpriset. Om däremot fasta priser gäller används priskomponent. För ej leveransgill kvantitet bör sådan komponent ge samma pris till alla vrakprodukter. Produkten ska inte ingå som urvals- eller värdevillkor. (Jämför ej leveransgilla stockar där brytning på produkt är motiverad.) Kollektivomräkningen lägger till eller drar av kvantitet. Den del av ej leveransgill kvantitet som utgör sådan justering har egen produkt (stickprovsvrak). Den produkten riskeras att glömmas bort i en komponent som bryter på produkt. Eftersom produkten är en blandning av leveransens övriga vrakprodukter går det inte att sätta ett logiskt pris för stickprovsvrak i komponent där olika vrakprodukter har olika pris.
Fraktionsmodeller
De två modelltyperna
Fraktionsmodeller, även kallade flismodeller, används till att ge flöden med sågverksflis ett mått som motsvarar flisens kvalitet. Det används till att justera värdet. Det finns ett trettiotal olika modeller i VIOL. De skiljer sig åt i hur olika fraktioner av flisen värderas. Modellerna delas in i två typer. På VIOL 3-sidan ryms de inom samma användargränssnitt. Följande beskriver skillnaderna mellan modelltyperna:
Typ A
Acceptflisens värde är inte en funktion av fraktionernas andelar. Istället utgår provets värdeberäkning från 1 (ett). Det gäller om flaggan “anpassning till värdefaktormodell” är satt till ja för flismodellen. Korrektionsvärdet för prov som vrakats uttrycks med negativt värde. Värdet -0,55 ger att provet bidrar till kollektivets priskorrektion med –55 %. (1-0,55=0,45), där 1 är värdet som denna typ av modell utgår ifrån. Denna typ motsvaras av modeller i VIOL 2 som uttrycks med X-, Y- och Z-värden.
Typ B
Värdeberäkningen utgår från värde=0 (noll). Med ökande andelar av acceptfraktionerna höjs kvalitetsmåttet. Korrektionsvärdet för prov som vrakats uttrycks med positivt värde. Värdet 0,45 ger att provet bidrar till kollektivets priskorrektion med –55 %. Denna typ motsvaras av modeller i VIOL 2 som betecknas som värdefaktormodeller.
Övrigt om de två modelltyperna
Fram till några år in på 2000-talet fanns endast en typ av flismodell i VIOL. Den motsvaras av ovanstående Typ A. Motsvarigheten till Typ B utvecklades i syfte att göra funktionen lättare för användaren att förstå. Dessutom gav den modelltypen möjlighet att dela upp acceptflisen i två kategorier.
Ungefär halva virkesmarknaden valde att gå över till den nya modelltypen. Resultatet blev sålunda ett VIOL 2-system med två typer av modeller. De betjänas i VIOL 2 av olika användargränssnitt och beräkningar som styrs av olika programkod.
Vid övergången till VIOL 3 valdes att anpassa modelltyperna till en gemensam del av systemet. Det förutsätter den flagga som förklaras ovan, samt att vrakfaktorn är behäftad med ett minustecken för modeller av typen A.
Flismodeller i VIOL 3 med gemensamt uttryckssätt för vrakfaktor och utan nämnda flagga (utgångsvärdet som ger 1 (ett)) förutsätter att samtliga modeller av någon typ omförhandlas. Det är en process som i så fall parterna i affären som använder flismodeller utför. Det handlar om hur de olika flisfraktionerna ska värderas sinsemellan. Det är ett omfattande arbete som berör många användare.
Hitta kollektiv vid destinering
Det finns två sätt att fastställa kollektiv vid destineringen. Det återspeglas i två varianter av kollektivbeskrivningar.
Biometria rekommenderar kunder att använda följande alternativ nummer 2.
1. Sökning baseras på matchning mellan attribut i virkesflödet och aktiva kollektivbeskrivningar. 
Attributen handelssortiment, mottagningsplats, transportslag och leveranstidpunkt ska överensstämma. För leveranstidpunkten är det möjlig leveranstidpunkt fr.o.m som skall omslutas av kollektivets giltighetstidsintervall. Eventuella villkorliga attribut som används i kollektivbeskrivningen ska också överensstämma. De är avtalsobjekt, anskaffningsform och förste köpare. För kollektivvariant 1 saknas egen flik för förste köpare i kollektivbeskrivningen. Istället används köparen i rad med lägst sekvens i fliken affärsparter när verifieringen hittar kollektivet. Den köparen ska vara samma eller hierarkiskt överställd förstaledskontraktets köpare.
2. Identiteten för kollektivbeskrivningen anges direkt i Redovisningshänvisningen.
En förutsättning är att angiven kollektivbeskrivning överensstämmer beträffande obligatoriska attribut.
För det kollektiv som hittas kontrolleras att följande villkor är uppfyllda. Om så inte är fallet misslyckas destineringen:
- Flödets mätningstjänster överensstämmer med beskrivna mätningstjänster i kollektivbeskrivningen.
- Samtliga beskrivna sekvenser med säljare och köpare i fliken affärsparter i kollektivbeskrivningen uppfyller stipulerade villkor i jämförelse med förstaleds- och köparekontrakt (enbart aktuellt för kollektivvariant 1). Läs mer om det under avsnitt 8.
Kollektivbeskrivningen har en flagga som visar vilket av de två sätten som gäller när den kollektivbeskrivningen blir gällande i en destinering. För kollektiv av ovanstående första variant gäller unik förekomst av kollektivbeskrivning under beskrivna attribut. Variant 2 innebär att dubbletter av kollektiv kan förekomma. Exempel på tillämpning av dubbletter är lika parallella flöden, som behöver särhållas eftersom de apterats olika.
Parter i sågtimmerkollektiv
Blanda olika avtalsformer i sågtimmerkollektiv
Virke från egen skog och köp kan ingå i samma timmerkollektiv. För kollektivvariant 1 behöver dock ett regelverk följas kring affärernas säljare och köpare. Det behövs för att kollektivets tillämpade à-pris ska bli korrekt beräknat. Med det menas, att resultatet av provstockarnas prisräkning kan kopplas till rätt parter i det ordinarie mätningsflödet. Därför gäller, att affärsleden i samtliga prov och ordinarie mätningar i princip ska vara uniforma vad gäller parter. Det går ändå, i viss mån, variera sammansättningen av parter i timmerkollektivet. Flöden med första säljare av olika typer går att redovisa via gemensamt kollektiv. Dilemmat är att två flöden med olika uppsättningar av parter då samexisterar i timmerkollektivet. Lösningen åskådliggörs med ett exempel och följande två lösningar:
Exempel
Exemplet innehåller flöden med olika typer av första säljare:
Flöde A- första säljare av typen person eller liten organisation (köp).
Flöde B- första säljare av typen organisation (egen skog). Företagets virkesanskaffning är organiserad i en virkesavdelning med underliggande distrikt.
Lösning 1 – organisationerna i förstaledkontraktet för flöde B avstår från pris från kollektiv. 
Virkesavdelningen är första köpare i både flöde A och B. Affären i första led i flöde B kan, men ska inte använda pris från kollektiv. Förstaledskontraktet har “pris från kollektiv” = Nej, alternativt “värdeberäkning i VIOL” = Nej. Det innebär att destineringen inte kontrollerar den affärens parter. Istället kontrolleras första affären i kontraktsledskedjan mot kollektivbeskrivningens lägsta affärsled. Det är affärsled 2. För flöde A kontrolleras inte heller parterna i förstaledskontraktet. Det beror på att säljaren är av typen person eller liten organisation. Följaktligen går flödena att kombinera i kollektivet, så länge kontraktledskedjorna för flöde A och B beskriver samma parter.
Lösning 2 – organisationerna i förstaledkontraktet för flöde B använder pris från kollektiv.
Ett extra affärsled behöver därför användas i flöde A. Affären från Privatperson/liten organisation behöver gå via distriktet, som i sin tur säljer till virkesavdelningen.
Affären i första led i flöde B både kan och ska använda pris från kollektiv. Förstaledskontraktet har “pris från kollektiv” = Ja. Det innebär att destineringen kontrollerar den affärens parter mot kollektivbeskrivningens lägsta affärsled. För flöde A kontrolleras inte parterna i förstaledskontraktet. Kontraktsledskedjan ska i vederbörlig ordning stämma med kollektivbeskrivningens parter. Parterna i den kedjans lägsta affärsled behöver således överensstämma med det förstaledskontrakt som flöde B beskriver. Att den affären sätts upp i flöde A är en förutsättning för att motsvarande affär i flöde B ska kunna använda pris från kollektiv.
Om flaggan Värdeberäkna i VIOL=Nej syns inte flaggan Pris från kollektiv i användarens formulär. Flaggan Pris från kollektiv har i det läget värde=Nej i systemet.
Blanda nivåer från samma organisation i samma affärsled i sågtimmerkollektiv
Det krävs att kontraktens säljare och köpare överensstämmer avseende huvudkod med kollektivbeskrivningens affärsparter. För internt nummer medges däremot avsteg från exakt överensstämmelse. Internt nummer som i organisationsstrukturen är lika eller under motsvarande part i kollektivbeskrivningen är godkänt. Det gäller samtliga i kollektivet beskrivna parter, för säljare och köpare, både från förstaledskontrakt och köparekontrakt.
En tillämpning är att flera distrikt kan delta i samma affär med pris från samma kollektiv. De uppträder antingen som första säljare (egen skog) eller andra säljare (köp). Villkoren måste vara lika för alla deltagande distrikt i den meningen att alla antingen är första eller andra säljare. I det senare fallet är första säljare av typen person eller liten organisation.
Basomräkningstal
Samtliga tillämpade omräkningstal motsvaras av ett basomräkningstal. Det tillämpas när provunderlaget är litet. Bastalen utgör kollektivets tillämpade omräkningstal när prov saknas. I takt med att provdata tillkommer fasas bastalen ut. Hur många prov som behövs för att bastalen helt ska fasas ur framgår av kollektivbeskrivningen. I normala fall gäller tio stickprov. Då har bastalen spelat ut sin roll och de tillämpade omräkningstalen baseras då enbart på prov.
Larm av stickprov
Larm i olika former och syften finns för prov som avviker från förväntat utfall. Beroende på typ av råvaruflöde antingen avvisas prov, eller efterlämnar signal om att provet motiverar en översyn av tillverkningsprocessen bakom proven.
Rundved
Misstänkt felaktiga prov avvisas innan de går in i beräkning av tillämpade omräkningstal. Villkor för två larmfunktioner registreras i kollektivbeskrivningen för kollektivvariant 1,2 och 4.
Prov som överskrider någon av följande toleranser mellan enkel och noggrann mätning avvisas i Mätplatsstödet (MPS). Funktionärer kring mätning och redovisning utreder larmen och låter avvisade provet fortsätta sin väg genom systemet om inga fel kring hanteringen av provet kan påvisas. Annars makuleras provet, vilket går att göra så länge provet finns kvar i Mätplatsstödet (MPS). Godkänt prov kan diskvalificeras i kollektivbeskrivningen.
Kvalitetsavvikelse larm:
Avvikelse mellan enkel- och noggrann mätnings vrakandel som är samma eller högre än stipulerad andel föranleder avvisning. Andelen anges i antal %- enheter. Motsvarande larm ligger programmerat i VIOL 2 med 10 %-enheter och gäller generellt för de typer av kollektiv som utnyttjar funktionen. För att motsvara det i VIOL 3 ska sålunda 10 %-enheter anges i kollektivbeskrivningen i VIOL 3.
Exempel för ett travmätningskollektiv med kvalitetsavvikelse larm 10: Enkel mätning har 3% andel vrak. Noggrann mätning har 13%. Skillnaden är 10 enheter, vilket innebär att provet avvisas.
Kollektiv i VIOL 3 där räkning eller vägning tillämpas bör få högre tolerans, eftersom noggrann mätnings vrakandel jämförs med 0, då sådana kollektiv inte åsätts någon vrakandel för enkel mätning.
Kvantitetsavvikelse larm:
Prov med bidrag till kollektivets tillämpade bruttoomräkningstal som avviker mer från kollektivets tillämpade omräkningstal än stipulerat värde avvisas. Enheten är % (observera skillnaden i enhet mot Kvalitetsavvikelse larm).
Exempel för ett räkningskollektiv: Basomräkningstal brutto är 13 m3 fub/styck.
Kvantitetsavvikelse larm 30 (%). Prov med omräkningstal som inte ligger inom 9,1-16,9 avvisas. Funktionärer kring mätning och redovisning utreder larmen och låter avvisat prov gå vidare i redovisningen om inga fel kring hanteringen kan påvisas.
Motsvarande larm hanteras i kollektivbeskrivningen i VIOL 2. Där räknas emellertid med så kallade dubbla standardavvikelser. I VIOL 2 motsvaras exemplet ovan med en gräns uttryckt i kollektivbeskrivningen i VIOL 2 med 15. Ett normalt värde för Kvantitetsavvikelse larm i VIOL 3 ligger runt 10-16%, vilket motsvarar 5-8% som brukar användas i VIOL 2. I VIOL 2 finns också en funktion för avvisning av prov med avvikande virkesvärde. Någon motsvarighet i VIOL 3 finns ännu inte.
Sågverksflis
För flis finns ingen funktion med avvisning av prov. Istället blir mätare uppmärksammad, om analyserat prov överskrider rimlighetsgränser för sållade flisprov. Gränser kan läggas upp för mätplatsen i Mätplatsstödet. Leverantör av flis ska informeras av mätaren om någon fraktion överskrider stipulerad larmgräns. Prov som larmas går dock utan åtgärd vidare i beräkning av tillämpat omräkningstal. Larmet syftar till förebyggande åtgärder i flisens tillverkningsprocess.
I fraktionsmodellerna finns förberedelser för larmfunktioner som användare med behörighet till modellerna kan se. Lösningen av funktionen kom emellertid att istället lösas i Mätplatsstödet (MPS), varför ifrågavarande data i fraktionsmodellerna inte fyller någon funktion och därför ska tas bort.
Kollektivtyper
1: Rundved med möjlighet till pris från kollektiv
Tillämpas för sågtimmer där råvaran prisräknas utifrån stickprov för ett eller flera affärsled. Redovisning i m3f. Vägning, travmätning, räkning.
2: Rundved utan möjlighet till pris från kollektiv
Tillämpas när enbart kollektivomräknad volym behövs. Redovisning i m3f. Travmätning, vägning, räkning.
4: Rundved, begränsade populationer
Tillämpas i så kallade ”båtkollektiv” för rundved, där redovisning av kollektivvolymerna sker när samtliga stickprov är redovisade och kollektivet avslutas. Redovisning i m3f. Vägning, travmätning.
5: Sönderdelat, torrhalts- och fraktionsbestämning
Tillämpas för cellulosaflis där kvantitet i TTV skapas med en priskorrektion. Även en m3f med måttslagskvalitet 2 skapas. Vägning.
6: Sönderdelat, begränsade populationer med torrhalts och fraktionsbestämning
Tillämpas i så kallade ”båtkollektiv” för cellulosaflis. Redovisning av kollektivvolymer samt priskorrektion sker när samtliga stickprov är redovisade och kollektivet avslutas. Redovisning i TTV med priskorrektion samt en omvandlad m3f god nog för måttslagskvalitet 2. Vägning.
7: Sönderdelat, skäppmätning och fraktionsbestämning
Tillämpas när fordonsvåg saknas. Skäppmätning ligger till grund för kvantiteten. Redovisad volym i m3s utgör inmätt volym och är inte kollektivomräknad. Stickprov syftar enbart till priskorrektion.Skäppmätning.
8: Sönderdelat, torrhaltsbestämning
Tillämpas vid inmätning av sönderdelat bränsle, redovisning i TTV. Varje ordinarie mätning energiberäknas med hjälp av kollektivets torrhalt. Vägning.
9: Sönderdelat, torrhaltsbestämning och energiberäkning
Tillämpas vid inmätning av sönderdelat bränsle, redovisning i TTV och MWH. Varje prov energiberäknas med hjälp av provets torrhalt. Kollektivet skapar ett omvandlingstal mellan ton och MWH som tillämpas för varje ordinarie mätning. Vägning.
Mätningsflöden, koppling till kollektiv
Handelssortiment kopplade till kollektiv sätts upp med två mätningsflöden som kopplas till de mottagningsplatser som registreras i kollektivet:
- Flöde för ordinarie mätning av typen ordinarie.
- Flöde för stickprov av typen stickprov.
Varje mätningstjänst i kollektivbeskrivningen ska vara representerad i något av flödena. Båda ska ha bocken för kollektiv ifylld och deras giltighetstider ska omspänna kollektivbeskrivningens Giltig fr.o.m. och Giltig t.o.m. I flödet för ordinarie mätning ingår de mätningstjänster som rör samtliga leveranser. I flödet för stickprov ingår mätningstjänster som innebär stickprovsmätning. Det är stockmätning, torrhaltsprov och fraktionsprov. En förutsättning för att aktivera en kollektivbeskrivning är att kollektivets mätningstjänster på rätt sätt ingår i mätningsflöden. En destinering som därefter kan gå mot kollektivet ska därför under normala förhållanden inte hindras av faktorer kring kollektivets mätningstjänster.
Specialfall med flera mätningsflöden under samma mottagningsplats och måttslag:
Finns flera mätningsflöden under samma måttslag där något av dem inte innehåller kollektivets mätningstjänster - men för övrigt är giltigt - kommer destineringen att misslyckas om det mätningsflödet är det som behandlas.
Destineringen går inte vidare och behandlar nästa mätningsflöde, som är flödet som möjliggjorde aktiveringen av kollektivbeskrivningen och sålunda är giltigt i alla avssenden. I detta fall måste det flöde som blockerar rätt flöde avslutas, varpå destineringen provas i nytt försök.
Kollektivfaser
Under VIOL-projektets gång har beslutats att tvåfaskollektiv inte ska tillämpas i VIOL 3. I kollektivbeskrivningen är det emellertid öppet för att skapa tvåfaskollektiv. Kollektivbeskrivningar i VIOL 3 ska skapas med kollektivfas 1.
Tvåfaskollektiv tillämpas för närvarande uteslutande i VIOL 2 i kollektiv med stora kvantiteter, där mätningen av ordinarie mätning därför förenklas mer än vad som annars är brukligt. Levererad kvantitet kan exempelvis skattas istället för att mätas. Då finns anledning att dela upp stickprovsmätningen i två nivåer. I första steget faller prov från den ordinarie mätningen, skattningen. De proven utgörs av travmätning. De tillämpade omräkningstalen i det steget korrigerar för skillnader mellan skattningen och travmätningen. I ett andra steg tas prov från travmätningen. De proven stockmäts. Där skaps en ytterligare nivå för tillämpade omräkningstal, som korrigerar för skillnaden mellan travmätningen och stockmätningen. Den frekvensen kan hållas låg, eftersom det finns ett mellansteg i form av en travmätning. De dubbla tillämpade brutto- resp. nettoomräkningstalen, B1 och B2 resp. N1 och N2 sätts samman, genom att de multipliceras : B=B1*B2, N=N1*N2. B och N räknar sedan om ordinarie mätning på sedvanligt sätt. En tillämpning av kollektivets à-pris kan ingå, där priset hämtas från den sista fasen.
Formler bakom omräkningstal
Omräkningstal utgör vägda medelvärden för bakomliggande prov. Det innebär att prov som hör till stora leveranser har större betydelse för omräkningstalet.
De sju tillämpade omräkningstalen:
- Nettoomräkningstal= (provstockarnas nettovolym)/ (enkla mätningarnas nettovolym)
- Bruttoomräkningstal=(provstockarnas bruttovolym)/ (enkla mätningarnas bruttovolym)
- Torrhalt= summa (provets torrhalt*leveransens råton)/summa (leveransernas råton)
- Priskorrektion= summa (provets priskorrektion*leveransens TTV)/summa (leveransernas TTV)
- À-pris nettovolym= summa leveransgilla provstockarnas värde / summa (provstockarnas nettovolym)
- À-pris vrakvolym= summa vrakstockarnas värde / summa (vrakstockarnas volym)
- Mwh = summa energiinnehåll för enkla mätningar / summa (enkla mätningarnas råton)
Kommentarer till formler:
Energiinnehåll för enkla mätningar är en funktion av resultat från torrhaltsprov som tas från enkla mätningen, enkla mätningens råvikt och kollektivets EB-nyckel.
Provets priskorrektion bestäms via fraktionsmodeller, även kallade flismodeller.
Avdragsvolym i provstockar påverkar inte à-pris. Den del av ordinarie mätnings kollektivomräknade kvantitet, som kan anses utgöra avdragsvolym, får det à-pris som vrakstockar i prov ger upphov till. Denna fråga har betydelse för värdet, men den är mycket liten.
Ändringar av redovisning i kollektiv
Retroaktiv ändring
Retroaktiv omräkning kan utföras för ordinarie mätning avseende det värderelaterade omräkningstal som ligger bakom värdet. Det berör ordinarie mätnings grundpris. Ordinarie mätningar byter på så sätt en preliminär priskorrektion (flis) eller à-pris (sågtimmer) till nytt värde. Det motsvarar VIOL 2-systemets “R-princip”. Retroaktiv omräkning av ordinarie mätning sker om kollektivbeskrivningens flagga “korrektionspost värde”=Ja. Det kan vara ett nytt preliminärt värde (månadsvis omräkning) eller slutgiltigt värde (omräkning vid kollektivets  avslut). För beräkningar bakom värderelaterade omräkningstal får via retroaktiv omräkning alla ordinarie mätningar samma stickprovsunderlag oavsett när de levererats under kollektivets giltighetstid. Sista dagarna i ett sådant kollektiv, efter omräkning vid kollektiv avslut, ligger de värderelaterade tillämpade omräkningstalen låsta. Då påverkar nya tillförda prov bara de kvantitetsrelaterade tillämpade omräkningstalen.
Framåtsyftande ändringar
Tillämpade omräkningstal för angränsande dygn skiljer om något av följande inträffat:
- Nya prov har tillförts urvalsmängden.
- Prov äldre än 365 dygn avförs från urvalsmängden.
- Stockmätt prov inom urvalsmängden är retroaktivt prisräknat.
Tidpunktens betydelse för retroaktiv prisräkning av prov
Stockmätta prov kan retroaktivt prisräknas. Det bör användaren dock undvika att göra i kollektiv med korrektionspost värde=Nej. Det gäller också efter sista korrektionsposttillfället i kollektiv med korrektionspost värde=Ja.
När Korrektionspost värde=Nej påverkar en retroaktiv prisändring av prov bara ordinarie mätningar som tillförs dygnet efter prisändringen. Retroaktiv prisräkning av prov är då motiverad vid upptäckt att provens pris ligger på fel nivå. Rättning av ordinarie mätningar med leveransdatum som är lägre eller samma som provens rättningsdygn kan dock inte utföras i VIOL.
När Korrektionspost värde=Ja är retroaktiv prisräkning av prov motiverad, så länge det sker senast dygnet innan kollektivets sista omräkningstillfälle. Då tar samtliga ordinarie mätningar inom kollektivets giltighetstid del av provens nya pris.
Efter det kommer varken nya prov som tillförs urvalsmängden eller retroaktiv prisräkning av prov att påverka tillämpat à-pris. Det ligger låst mellan sista genomförda korrektionstillfälle och att giltighetstiden för kollektivet går ut. En sen retroaktiv prisräkning av prov går att utföra, men är verkningslös för det ordinarie mätningsflödet.
Går ej att ändra
Kvantitetsrelaterat data i prov går inte att ändra. Det innebär att fördelningar av fraktioner, torrhalt och kvantiteter i enkla/noggranna mätningar inte kan ändras i data som blivit tillgängligt för kollektivet.
Tillämpade omräkningstal som fastställts för ett visst dygn kan sedan inte ändras.
Framåtriktad eller Retroaktiv omräkning
Omräkningstal tillämpas enligt två principer:
- Omräkningstalen är fastställda när beräkning av ordinarie mätningshändelsen sker. Ordinarie mätning får slutgiltig redovisning direkt.
- Preliminära omräkningstal används, som fastställs när kollektivets giltighetstid går ut. Ordinarie mätning genomgår först preliminär redovisning och senare omräkning.
Metoden bakom samplingen av prov skiljer principerna åt. Det innebär olika slag av urvalsmängd för prov bakom tillämpade omräkningstal. För kvantitet gäller alltid alternativ 1. För värderelaterade omräkningstal kan väljas mellan principerna.
1: Fastställda omräkningstal används. ”F-kollektivprincipen”. (Korrektionspost=False)
Urvalsmängden för prov är rullande 365 dygn bakåt i tiden. Prov tas i en urvalsmängd som inte sammanfaller med redovisad kvantitet. Proven har en urvalsmängd i tiden som är förskjuten före den redovisade kvantiteten. En delmängd av proven bakom giltighetsintervallets ordinarie mätningar ligger i kollektivets föregående giltighetsintervall.
Nackdel: Fluktuationer i sågtimrets à-pris över tid går inte att återspegla. Det beror på att tillämpat à-pris är framåtsyftande. Det finns sålunda en fördröjande faktor. En prisändring som inträffar NU kommer inte att slå fullt ut för mätningsflödet förrän om 365 dygn. Motsvarande dilemma gäller sågverksflisen, där byte av flismodell inte kommer att slå fullt ut förrän efter 365 dygn.
Fördel: Slutgiltig redovisning av leveransen bestäms direkt vid leverans.
2: Preliminära omräkningstal, som senare fastställs. ”R-kollektivprincipen”. (Korrektionspost=True)
Provens urvalmängd sammanfaller med redovisade kvantiteten. Kollektivets giltighets-tids-intervall beskriver när proven bakom tillämpade omräkningstalen levereras. Under tiden som leverans pågår i kollektivet tas tillhörande prov. I slutet av kollektivet kan omräkningstal slutgiltigt fastställas först då finns alla prov tillgängliga.
Nackdel: Preliminära värden som sedan korrigeras.
Fördelar: Det är principiellt rätt och fritt från invändningar att sampla prov från samma population som ska redovisas. Förändringar i flödet av prismatriser och fraktionsmodeller under pågående population kan genomföras på logiskt sätt. Tillämpade omräkningstalet är vid kollektivets avslut en vägd sammanställning av förhållanden före och efter ändringar av förutsättningar. Den fördelen gör sig också gällande vid start och avslut av flöden.
Retroaktiva omräkningar
För kollektiv finns två typer av retroaktiva omräkningar. Båda ger retroaktiv omräkning för ordinarie mätningar mot senaste värderelaterade tillämpade omräkningstal. Det förutsätter att kollektivet har korrektionspost värde i bockad.
Månadsvis värdeberäkning för kollektiv går månatligen, för närvarande den 15:e dagen varje månad. Kollektiv med giltighetstidsintervall som innesluter tidpunkten för sådan omräkning omfattas. Undantag gäller om Värdeberäkning vid kollektiv avslut ligger nära förestående. Det innebär att antalet dagar som återstår till kollektivets sista omräkning är få. Då inväntas i stället den omräkningen och den månadsvisa värdeberäkningen utförs inte för det kollektivet. Antalet dagar som styr den funktionen framgår av en generell parameter i systemet. I en produktionsmiljö torde den sättas till så stort värde att åtminstone november månads omräkning undantrycks för kalenderårskollektiv. För virkesårskollektiv undantrycks på motsvarande sätt juni månads omräkning. Vad parametern sätts till i testmiljöer varierar.
Värdeberäkning vid kollektiv avslut går varje dag. Bara de kollektiv omfattas som det aktuella dygnet har en återstående giltighetstid om 7* dagar. Den omräkningen motsvarar den månadsvisa motsvarigheten, frånsett att de värderelaterade tillämpade omräkningstalen blir låsta i samband med omräkningen. Värderelaterade omräkningstal som gäller vid ifrågavarande omräkning fortsätter att gälla återstående dygn av kollektivets giltighetstid.
*Villkoret styrs av en generell parameter som planeras att sättas till värdet 7 i en produktionsmiljö. I testmiljö kan värdet variera. Värdet 7 innebär att kalenderårskollektiv och virkesårskollektiv kommer att omräknas sista gång den 24:e december resp. den 24:e juli.
Övrigt om retroaktivitet:
Kollektivets sista dagar
Leveranser med leveransdatum mellan Värdeberäkning vid kollektiv avslut och 7 dagar senare, vid kollektivets verkliga avslutsdatum, använder samma à-pris/priskorrektion som bestämdes det dygn när omräkningen inträffade. Det innebär att alla leveranser i kollektivet har använt samma à-pris/priskorrektion när kollektivet avslutas. Det innebär också att värderelaterade delar av prov inkomna under kollektivets sista dagar inte kommer att beaktas av systemet.
Omräkning utan ändrade värden
Retroaktiv omräkning genomförs inte för leveranser där det saknas förutsättning att ändra värde som bestämdes vid föregående redovisningstillfälle. Det kan inträffa när det mellan två tillfällen för månadsvis omräkning av ordinarie mätning inte tillförts prov som förändrat storleken på värderelaterade tillämpade omräkningstal. Även värdeberäkning vid kollektiv avslut kan utebli av det skälet.
Spridningsmått
Medelfel
Kollektiv innehåller skattade parametrar, vilka ligger till grund för redovisningen i Viol. Skattningarna är föremål för viss osäkerhet, eftersom stickprovsmässigt urval använts.
Stickprovsurval ger att redovisningen avviker i en jämförelse med en hypotetisk redovisning av samma flöde utan sådant urval. För sågtimmer i kollektiv utgör stockmätning av hela flödet en sådan referens. Sannolikhetsfördelningen för avvikelsen mellan redovisningen med kollektivet och ren stockmätning beskriver den felrisk som redovisning med kollektivet är behäftad med. Den kallas medelfel. Lösa material i kollektiv, som exempelvis sågverksflis, har också ett medelfel. Det finns dock ingen rimlig praktisk motsvarighet till ren stockmätning i det fallet.
I logisk mening finns alltid ett facit, som utgör referens till vad de skattade parametrarna à-pris, priskorrektion, torrhalt och övriga kvantitetsrelaterade tillämpade omräkningstal skulle ha varit utan stickprovsurval. Det är inte känt hur facit ser ut – bara att det finns och ligger någonstans på tallinjen. Kollektivets medelfel ger bilden av risken för stora avvikelser mellan kollektivets redovisning och facit. Alltså går det inte att fastslå hur mycket redovisningen av en enskild affär med kollektiv i Viol avviker.
Parterna i virkesaffären bestämmer vilken risk för slumpmässiga fel de är beredda att ta. Det är medelfelet, som är risken att prov tas från en del av flödet som inte är representativ. Ofta har information om önskat medelfel meddelats för länge sedan mellan parter och funktionärer och villkoren prolongeras över många säsonger. Funktionärerna använder den så kallade standardavvikelsen vid beräkning av stickprovsfrekvensen som motsvarar det beställda medelfelet.
Standardavvikelse
Bara en begränsad del av råvaruflödet utgör kvantitet som blir prov. Det finns alltid en risk att prov faller på sätt som inte är representativt för flödet. Är flödet homogent och uppvisar små fluktuationer, är provens statistiska spridning liten. Begreppet kallas standardavvikelse. Standardavvikelsen är låg i homogena flöden. De prov som tas kommer sannolikt att likna varandra och det spelar mindre roll var i flödet proven faller. Stickprovsfrekvensen kan hållas låg, eftersom risken att slumpen spelar in är liten. Är flödet in-homogent gäller motsatt förhållande.
Övrigt om spridningsmått
Stickprovsfrekvens
Stickprovsfrekvensen visar hur ofta prov tas och ges av det medelfel kunden meddelat samt råvaruflödets standardavvikelse. Innan prov för den aktuella affären finns tillgängliga kan en bild av standardavvikelsen skapas genom att titta på befintliga prov från liknande flöden. Hög provfrekvens används om medelfelet ska vara litet och standardavvikelsen är hög. Hög stickprovsfrekvens innebär högre kostnad för virkeshanteringen.
Redovisning av medelfel och standardavvikelse
VIOLs BI-system visar standardavvikelsen för prov bakom skattningar som utgör tillämpade omräkningstal. Det gäller bruttoomräkningstalet, torrhalt och priskorrektion. I nuvarande version av BI redovisas inte något gemensamt spridningsmått för torrhalt/priskorrektion. Det skulle annars utgöra en diagonal i en tänkt rektangel där sidorna är torrhaltens och priskorrektionens standardavvikelse. Sågtimrets à-pris saknar redovisning av standardavvikelse, eftersom det än så länge inte ingår värden för prov i systemets integration. Redovisat medelfel är vad som i efterhand kan konstateras att skattade parametrar i kollektivet har. Det är naturligtvis bra om det motsvarar förväntningarna kunden har haft. Annars kan konstateras att fel nivå gällt för kollektivets stickprovsfrekvens.
Variationskoefficient
VIOLs BI-system beräknar inte variationskoefficienter. De skulle annars utgöra anpassningar av redovisade standardavvikelser till skattningarna de beskriver. Torrhaltens standardavvikelse skulle justeras uppåt betydligt i motsvarande form som variationskoefficient, eftersom torrhalten är förhållandevis låg med sitt medelvärde runt ca 50%. Priskorrektionens variationskoefficient skulle justeras antingen uppåt eller nedåt, med ett litet belopp mot sin skattning som ser ett normalt värde runt ca 100%. Vid tolkning av BI-rapporternas standardavvikelser kan därför beaktas, att en enhet i spridningsmåttet har olika betyder i olika skattningar.
Spridningsmått i VIOL 2
I VIOL 2 redovisas variationskoefficienter. Det har varit svårt att tolka de spridningsmåtten. Därför har valts att i BI-systemet i VIOL 3 redovisa standardavvikelser.
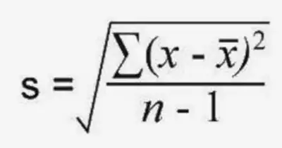
Formler
S Standardavvikelsen
X det enskilda provets värde för aktuellt tillämpat omräkningstal. 
x̄ -medelvärdet. Kollektivets tillämpade omräkningstal n antal stickprov som ingår i beräkning av tillämpat omräkningstal
M Medelfel
Kommentarer till de formler som tillämpas:
Populationens medelvärde är okänt. Systemets tillämpade omräkningstal är en skattning av det medelvärdet. Populationen betraktas som oändlig, varför sådan “ändlighetsfaktor” som kan läggas till beräkning av medelfelet inte tillämpas. Tillämpat omräkningstal utgör “vägda skattningar” och för bruttoomräkningstalets del “vägd kvotskattning”. I sådana sammanhang brukar användas andra - mer komplicerade - uttryck för beräkning av spridningsmått. I VIOL 3-systemets rapporter används tills vidare ovanstående enklare uttryck.
Leveranser på tåg med kollektiv
Olika typer av vagnar i tåg medger olika begränsningar för hur stor en virkestrave på vagnen kan vara. Därför ska olika typer av vagnar inte ingå i samma kollektiv.
Olika vagnstyper hanteras via olika avtalsobjekt. Därmed kan olika flöden i samma tåg styras mot olika kollektiv. Vagnar med avvikande vagnstyp kan också via sitt avtalsobjekt styras utanför kollektiv.
Kollektivbeskrivning
Inledning
Syftet med kollektivbeskrivning är att ha ett användargränssnitt för att lagra metadata om ett kollektiv.
Sidhuvud
| Fält | Definition | Beskrivning | Obligatorisk/Valfri | 
|---|---|---|---|
| Kollektiv ID | Kollektivbeskrivningens identitet | Unikt för leveransperioden | Obligatorisk | 
| Kollektiv | Verksamhetens identitet för kollektivet | Kan återanvändas över flera leveransperioder | Obligatorisk | 
| Beskrivning | Beskrivande text för kollektivet | Obligatorisk | |
| Transportslag | Transportslag | Väg, Järnväg eller Ingen | Obligatorisk | 
| Mätande företag | Mätande företag som skapat kollektivet | Företaget måste ha rollen mätande företag | Obligatorisk | 
| Kollektivansvarig | Ägare av kollektivet | Är oftast även beställare av kollektivet | Obligatorisk | 
| Måttslag | Måttslag för kollektivet | Mätningar som rapporteras mot ett visst kollektiv redovisas i kollektivets måttslag, För variant 9 anges två måtttslag ttv och mwh | Obligatorisk | 
| Kollektivvariant | Variant av kollektivet | Lista över kollektivvarianter se kapitel 8 | Obligatorisk 1-2, 4-9 | 
| Korrigeringstyp | Mätkorrigering eller förenklad mätdatainsamling | ||
| Korrigeringspost värde | Styr om det ska köras en kollektiv omräkning i slutet av kollektivet (Kollektivvariant 1,5 och 7) | Ja/Nej | |
| Valuta | Valuta för kollektivet | Valuta i KB ska överensstämma med valuta i huvudet i samtliga prislistor som står i fliken affärsparter. | Obligatorisk. Defaultvärde = SEK | 
| Medelfel | Behövs för att räkna fram antalet prov | Procent 2 Heltal,6 | Villkorligt | 
| Giltig from. | Startdatum för kollektivbeskrivningen | Startdatum för kollektivets leveransperiod | Obligatoriskt. ÅÅÅÅ-MM-DD | 
| Giltig tom. | Slutdatum för kollektivbeskrivningen | Slutdatum för kollektivets leveransperiod | Obligatoriskt. ÅÅÅÅ-MM-DD | 
| Status | Status på kollektivbeskrivningen | Aktiv, Preliminärt eller avslutat | |
| Fraktionsnyckelnummer | Referens till informationsobjektet fraktionsnyckel | Finns endast på kollektivbekrivningar av variant 5 eller 7 | Obligatorisk (Vid sönderdelat med priskorrektion) | 
| RH-Kollektiv | Styr om kollektivet ska kunna sökas ut från RH | JA/NEJ ,Kan inte ändras i en aktiv kollektivbeskrivning | Obligatorisk | 
Sortiment
I fältet sortiment kan du se vilket handelsortiment som gäller för kollektivbeskrivningen. Handelssortiment med sitespecifik produktlista kan användas. Produkterna kan också ändras under kollektivperioden. Det produkter som visas i KB är däremot alltid de branschgemensamma produkterna. Alltså motsvarar inte de produkter som visas i KB alltid de som kan användas vid mätning.
Deltagare
Här anges aktörer som ska jämställas med kollektivansvarige i behörigheten till kollektivbeskrivningen.
Företagsanvändare/administratör och prisanvändare/administratör har som deltagare samma behörighet som kollektivansvarig. Det innebär läsrättighet till kollektivbeskrivningen exkl. rader i fliken Affärsparter där vederbörande inte utgör någon av parterna. Pris och företagsadministratören har också skrivrättighet på rad i fliken Affärsparter i Basomräkningstal à-pris och prislista stickprov där vederbörande utgör någon av parterna. Deltagare kan läggas till men inte tas bort från en aktiv kollektivbeskrivning.
Anskaffningsform
I fältet anskaffningsform anges vilka anskaffningsformer som kollektivet kan användas till. Syftet med fältet är att hitta rätt kollektiv för flödet vid destinering. Anskaffningsformer kan läggas till i en aktiv kollektivbeskrivning.
Avtalsobjekt
I fältet avtalsobjekt kan du se om det finns refererande avtalsobjekt till kollektivet. Syftet med fältet är att hitta rätt kollektiv för flödet vid destinering. Avtalsobjekt kan läggas till i en aktiv kollektivbeskrivning.
Fraktionsnycklar
Fraktionsnyckel anges i kollektivbeskrivningar av variant 5,6 och 7. Det är ett informationsobjekt som innehåller förutsättningar för att beräkna priskorrektion.
Användare som läser kollektivbeskrivningen med en roll som finns med i franktionsmodellens behörighetslista, kan via kollektivbeskrivningen läsa den fraktionsmodell som där registrerats.
| Behörighetslista Fraktionsmodell | 
|---|
| Prisadministratör / Användare | 
| Företagsadministratör / Användare | 
| Mätande företag administratör / Användare | 
| Biometria Administratör / Användare | 
För att komma till fraktionsmodellen klickar du på fraktionsnyckeln i huvudet på kollektivbeskrivningen.
Primär köpare
Aktör som är förste köpare i förstaledskontraktet kan anges. Syftet med fältet är att tjäna som brytbegrepp när kollektiv hittas för flödet vid destinering. I kollektivvariant 1 motsvaras fältet av köparen i lägsta affärssekvensen.
Affärsparter
Fältet finns endast i kollektivbeskrivningar av variant 1. I fältet affärsparter kan du se säljare och köpare per affärsled.
Privatpersoner och aktörer med inställningen pris från kollektiv=nej i aktörsregistret kan inte väljas in i fältet affärsparter. Om affärsled 1 i ett kollektivmätt flöde har en sådan säljare kan det affärsledet inte använda pris från kollektiv. Då är den första sekvensen under affärsparter affärsledled 2 i flödet.
Affärsparter ingår i verifiering av kollektivet vid destinering.
Hur användaren förflyttar sig inom fliken Affärsparter:
För att läsa data om följande två affärer behöver val i menyn göras så här:
Markera den affärssekvens du vill se och klicka sedan på Värde stickprov. Då visas information om den valda affärssekvensen. Det är baspris och stickprovslista. Mer information om den affären framgår om du därefter klickar på fliken Kollektivfaser. Där framgår nu gällande Tillämpade à-pris. Utvecklingen dag för dag för det omräkningstalet framgår under Uppföljning av tillämpade värden.
För att avbryta läsning av den valda affärssekvensens tillämpade à-priser – klicka på “tillbakapilen”.
Istället för att avbryta läsningen kan du längre ned under Stickprov se värden för proven bakom tillämpat apris för vald affärssekvens. Mer data än så går inte att läsa för den valda affärssekvensen. För att avbryta läsning av den affärssekvensen – klicka på “tillbakapilen”. Nu kan annan affärssekvens väljas eller data i följande flikar.
Ersättningsgrundande mätningstjänst råvara
Här är mätningstjänsten angiven som är ersättningsgrundande för råvaran, tillsammans med förklarande beskrivning. (Ordinarie mätning)
Kollektivfaser, branschgemensamma mätningstjänster
I kollektivfaser anges mätningstjänster för enkel och noggrann mätning med respektive måttslag.
Basomräkningstal
Här anges basomräkningstal som ska gälla vid start av nytt kollektiv. Dessa fasas ut i takt med att stickprov kommer in i systemet. När så många prov finns tillgängliga som motsvaras av Stickprovsunderlag antal är bastalen urfasade och påverkar inte längre beräkningen av tillämpade omräkningstal.
Basomräkningstalet för torrhalten anges i procent, Ett rimligt omräkningstal för torrhalt är 53 (procent).
Priskorrektionen är enhetslös. Ett rimligt omräkningstal är 1.1. Det innebär att ett pris i en priskomponent på 700 kr blir 770 kr efter påslag av priskorrektion.
Underlag noggrann mätning
Larmgränser används för att styra funktion som larmar prov av rundvirke som avviker från normala värden. Larm av flisprov styrs på annat sätt, vilket beskrivs på annan plats i handledningen. Se separat stycke om larm i denna handledning.
Urvalsfrekvens (%) styr hur stor andel av ordinarie mätning som ska ge upphov till prov. Intervall anges för önskad stratifiering av ett visst antal stickprov. Enligt exemplet nedan med värdet 20 i Intervall kvantitet och 10 % i Urvalsfrekvens kvantitet ska varje grupp om 20 leveranser representeras med 2 prov.
Larm 1: Skillnaden mellan ordinarie mätnings bedömda vrakandel (%) och stockmätta provets vrakandel (%) får uppgå till högst så många procentenheter som angetts i kollektivets “kvalitetsavvikelse-larm”. Enheten är procentenheter.
Larm 2: Provets bidrag till kollektivets bruttoomräkningstal ska ligga inom kollektivets tillämpade bruttoomräkningstal +/- “kvantitetsavvikelse larm”. Enheten är procent.
Om båda villkoren uppfyllts går provet vidare till de beräkningar som sker i kollektivet. Larm kan upphävas genom att stickprovsadministratören godkänner det avvisade provet i mätplatssystemet. Då godtas den avvikelse som ger upphov till larm och provet går vidare till beräkningar i kollektivet.
Tillämpade omräkningstal
Här visas vilka omräkningstal som tillämpas för att räkna om inmätta kvantiteter. Efter aktivering av kollektivbeskrivningen är det basomräkningstalen som visas. I takt med att prov inkommer ersätts dessa med omräkningstal utifrån verkliga stickprov.
Stickprov
Här visas identitet på stickprov som blivit inmätta och godkända per mätdatum. Om det gäller kollektivvariant 1 kan du även se stickproven under affärsparter – värde stickprov. Det är villkor kring behörighet som gör att prisrelaterade uppgifter för kollektivvariant 1 ligger i separat flik.
Kontaktinformation
Under kontaktinformation kan du hitta kontaktuppgifter till intressenter i kollektivet. Där framgår även vilken roll som intressenten har i kollektivet som kan vara köpare, säljare eller mätande företag.
Giltiga mottagningsplatser
Under giltiga mottagningsplatser ser du vilka mottagningsplatser som kollektivet är kopplat till. Där framgår även den provmätorder som skapas när kollektivet aktiveras.
Kollektivbeskrivning kan gälla för flera mottagningsplatser. Mottagningsplats kan adderas i redan aktiverad KB. Då är kollektivet giltigt ur destineringsperspektivet även för den nya mottagningsplatsen. Ska prov falla ut där måste användaren begära att provmätordern skickas ut till den mottagningsplatsen. Den funktionen kan initieras via Skapa provmätorder i denna flik. Om användaren inte gör det bedrivs inmätning utan provtagning vid den nya mottagningsplatsen.
Historik
Under historik hittar du uppgifter om när kollektivbeskrivningen skapades och när den senast ändrats.
Behörigheter kollektivbeskrivning
Behörighetsroller kollektivbeskrivning
| Roll | Beskrivning | 
|---|---|
| Företagsadministratör | Läsa allt* exkl. prisrelaterade uppgifter i rader i fliken Affärsparter där vederbörande inte utgör part. Prisrelaterade uppgifter är: Basomräkningstal apris, Prislista, stickprov och Tillämpat kollektivpris. Skriva Basomräkningstal apris och Prislista stickprov i rader i fliken Affärsparter där motsvarande läsrättighet finns. Företagsadministratören kan se hela fliken kontaktinformation och därmed se alla parter som ingår i kollektivet. | 
| Företagsanvändare | Samma läsrättigheter som företagsadministratören. | 
| Mätande företag administratör | Läsa allt exkl. flik Affärsparter. | 
| Prisanvändare | Samma läsrättigheter som företagsadministratören. | 
| Prislisteadministratör | Samma läsrättigheter som företagsadministratören. | 
| SDC Administratör | Läsa och skriva allt. | 
| SDC Användare | Läsa allt. | 
| Transport användare | N/A | 
| Transport administratör | N/A | 
| Stickprovsadministratör | Läsa och skriva allt exkl. fliken Affärsparter. | 
| Stickprovsanvändare | Läsa allt exkl. fliken Affärsparter. | 
| Kontrolladministratör | Läsa allt exkl. fliken Affärsparter. | 
| Kontrollanvändare | Läsa allt exkl. fliken Affärsparter. | 
Behörighetsroller Listvy
Vilka kollektivbeskrivningar kan jag se i listan över kollektivbeskrivningar?
| Roll | Beskrivning | 
|---|---|
| Företagsadministratör | Kan se kollektivbeskrivningar där aktören är kollektivansvarig eller deltagare. | 
| Företagsanvändare | Kan se kollektivbeskrivningar där aktören är kollektivansvarig eller deltagare. | 
| Mätande företagsadministratör | Kan se kollektivbeskrivningar där aktören är mätande företag eller deltagare. | 
| Mätande företags användare | Kan se kollektivbeskrivningar där aktören är mätande företag eller deltagare. | 
| Prisanvändare | Kan se kollektivbeskrivningar där aktören är kollektivansvarig eller deltagare. | 
| Prisadministratör | Kan se kollektivbeskrivningar där aktören är kollektivansvarig eller deltagare. | 
Revisionshistorik
| Ändring | Datum | 
|---|---|
| Kapitel 5 - rättat tabell över måttslag i grundpriskomponent KV6 | 2025-04-24 | 
| Val av omräkningstal vid ny mätning, retroaktivitet etc. Pris för travens vrak. Kollektivvariant 3. Makulering/diskvalificering | 2024-11-29 | 
| Omskrivning avsnittet om spridningsmått | 2024-07-08 | 
© Copyright 2022 - 2025 Biometria ekonomisk förening. Med ensamrätt.
Innehållsförteckning
 
						 
			 
			 
			 
			 
			 
			 
			 
			 
			 
			 
			 
			 
			 
			 
			 
			 
			 
			 
			 
			 
			